Select to view content in your preferred language

ArcGIS Pro 3.0.2: How the weight is calculated in the Geographically Weighted Regression (GWR)?

1025
3
10-22-2023 12:34 PM
JamalNUMAN
Legendary Contributor

ArcGIS Pro 3.0.2: How the weight is calculated in the Geographically Weighted Regression (GWR)?

 

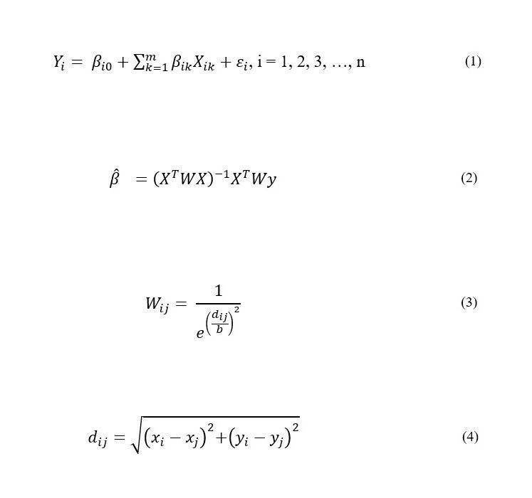
I couldn’t figure out how the weight is calculated in the Geographically Weighted Regression (GWR).

 

For example, in the marked value, the actual price represents the dependent variable where the area and parking are the explanatory variables

 

Now, for this point, how the weights (w) of the area (120 square meters) and parking (1) are calculated to predict the value of the price (97238)?

 

When comparing the GWR with IDW, I found out that in the IDW the values of the surrounding points and distance participate in deriving the point in question by summing and averaging as per the equations below. Then how about the GWR? How the weight is calculated?

 

Clip_440.jpgClip_441.jpgClip_442.jpg

 

Clip_443.jpg

 

Clip_444.jpg

----------------------------------------
Jamal Numan
Geomolg Geoportal for Spatial Information
Ramallah, West Bank, Palestine
0 Kudos
3 Replies
Robert_LeClair
Esri Esteemed Contributor

Caveat - I am by no means an expert on Spatial Statistics but I did find a resource here that you may or may not have seen before.  You may want to cross post this in the Spatial Statistics Esri Community as well as those folks there likely are more knowledgeable about this subject material.  Lastly, there is an ArcGIS Hub for Spatial Statistics which has a link to the Team members that likely know the answer to the question.

JamalNUMAN
Legendary Contributor

Many thanks, Robert, for the input and for moving the post to the 'spatial statistics tools' category.

I have already referred to several peer-reviewed papers, but I couldn't find a single one that includes a concrete example of how 'W' is calculated. All of them show the equation for 'W' without explaining how it is calculated for a particular point.

While I found many examples of how IDW works, there is no similar material explaining how GWR works

 

Clip_454.jpgClip_455.jpgClip_456.jpgClip_457.jpgClip_458.jpg

----------------------------------------
Jamal Numan
Geomolg Geoportal for Spatial Information
Ramallah, West Bank, Palestine
0 Kudos
Robert_LeClair
Esri Esteemed Contributor

You're welcome Jamal - yes, I will move this post to the Esri Community Spatial Statistics forum in just a moment.  Hopefully folks there will be better able to assist.