Select to view content in your preferred language

Create hexagon grid of certain side lengths

2662
3
Jump to solution
02-19-2021 01:33 PM
Labels (1)
MalcolmLittle
Regular Contributor

I have a question regarding generating tessellated hexagon grids in ArcGIS Pro: How do I define the length of the side of the hexagon bins that are generated (e.g. 20m sides)? There doesn't seem to be a parameter for that in the tool setup.

For reference, I am using this tool: https://pro.arcgis.com/en/pro-app/latest/tool-reference/data-management/generatetesellation.htm

0 Kudos
1 Solution

Accepted Solutions
ChrisRingo
Regular Contributor

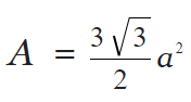
I've just used the formula to calculate area (A) from side length (a)

ChrisRingo_0-1613770912344.png

 

View solution in original post

3 Replies
ChrisRingo
Regular Contributor

I've just used the formula to calculate area (A) from side length (a)

ChrisRingo_0-1613770912344.png

 

curtvprice
MVP Alum

This is a job for the Calculate Value tool in ModelBuilder! Create a Model variable Side of type Double, insert the Calculate Value tool and use this expression:

CalculateValue Expression: 

 

(%Side%)**2 * (3 * (3**0.5))/2

 

Set Output Type to Double and connect it to the Generate Tessellation tool!

gt_side.png

 

0 Kudos
DanPatterson
MVP Esteemed Contributor

Hexagon - Wikipedia

the key is the root 3 / 2 .  It can be related to the maximal radius R and the minimal radius 'r' depending on which type of hexagon you are creating See the image on the page and decide which radius you need


... sort of retired...
0 Kudos