Select to view content in your preferred language

problem with csv to feature points

2440
7
09-14-2021 12:15 PM
Labels (1)
matu89
by
Emerging Contributor

hey,

i have an excel file with coordinates and Z values.

i  saved it to CSV Comma Delimited and when i run  X Y to point tool , the attribute table in the feature layer that been created is EMPTY.

i tried to save the excel sheet a few more times in the right CSV format but the table is still empty..

 

that i do wrong ?

 

thanks.

 

0 Kudos
7 Replies
DavidPike
MVP Notable Contributor

Common issues are:

X and Y fields mixed-up

Incorrect coordinate system specified, e.g. using a local coordinate system for lat long values.

do you have a sample of the csv structure and also your arguments/inputs for the xy table to point tool?

0 Kudos
DanPatterson
MVP Esteemed Contributor

A screen grab of the first few lines of the table with the headers would help eliminate the guessing as to possible errrs


... sort of retired...
0 Kudos
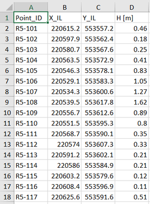
matu89
by
Emerging Contributor

here is  how it show in the CSV file :

matu89_0-1631692403614.png

 

here is how it show in Arcgis :

matu89_1-1631692453331.png

these are the steps i did :

1. select all the rows in the CSV file

2. use XY point tool the select the column H [m] to be the Z feild 

3. clicked Run 

 

0 Kudos
David_Brooks
MVP Regular Contributor

@matu89 and are there any features created when you run the tool? can you show screengrabs of the feature attribute table and point geometries in the data frame?

Have you tried removing the square brackets from the Z field? I can't recall if this is a special character that might screw things up.


David
..Maps with no limits..
0 Kudos
matu89
by
Emerging Contributor

yes , a feature has been created but without information 

as u can see here :

matu89_0-1631694726061.png

 

also i removed the brackets from the H filed as u can see .

 

 

0 Kudos
David_Brooks
MVP Regular Contributor

@matu89 what are the names of the attribute fields. I'm guessing you have successfully created points in the location you want them? Do you have illegal characters in your other columns?

 


David
..Maps with no limits..
0 Kudos
matu89
by
Emerging Contributor

Solved: i change the coordinates system in  XY tool and it worked .

 

now i can see the feature points in my map.

thanks to everyone who helped.

 

0 Kudos